COSTI, TARIFFE, SERVIZI
A partire dalla critica ad una bizzarra analisi del CNEL sui costi della gestione dei rifiuti urbani in Italia, l’autore, esperto di servizi pubblici locali, ricava una diagnosi accurata dello storico divario dei costi del servizio fra le diverse regioni e una ricetta più credibile per abbassare le bollette della TARI.
In Copertina: Immagine da “Un sacco bello”, regia di Carlo Verdone, 1980
Il CNEL è un organo costituzionale di consultazione per il Governo, le Camere e le Regioni: dovrebbe, cioè, supportare i decisori della Repubblica nelle scelte di politica sociale ed economica. Succede però che qualcuno fra i dossier e i rapporti prodotti segni brutte cadute di stile e – conseguentemente - di credibilità ed autorevolezza. È il caso della relazione del CNEL sui servizi pubblici in Italia, nella parte che fa il punto su efficacia ed efficienza del servizio di gestione dei rifiuti nel nostro Paese (pag 135 e seguenti).
A parte lo svarione incredibile di confondere tassi di raccolta differenziata con tassi di riciclo, annunciando in modo dilettantesco che abbiamo raggiunto il target europeo con 13 anni di anticipo, quando ancora siamo oltre 4 punti sotto, il rapporto riporta i dati economici del settore, già disponibili nel Catasto rifiuti, producendo alcune analisi originali.
Vediamo cosa emerge dalle analisi CNEL.
Per prima cosa si conferma un dato macro su cui non si può che essere d’accordo. Il costo della gestione dei rifiuti urbani in Italia aumenta da sempre, quasi ogni anno, ma leggermente meno dell’inflazione. Lo dice il CNEL e lo testimoniano i fatti. Dal 2016 al 2023 il costo dei rifiuti a tonnellata è aumentato nel 18,1 % mentre l’inflazione sale del 18,5% (figura 1). Nell’ultimo anno questo fenomeno è particolarmente chiaro, mentre nel periodo 2020/22 il dato probabilmente risente della pandemia.
Figura 1: dinamica costo dei rifiuti urbani e inflazione in Italia 2016/2023
Fonte: ISTAT, ISPRA
Il Rapporto poi analizza i differenziali di costo fra le varie regioni, da sempre molto elevati (tabella 1): nel 2023 i valori euro/tonnellata variano, intorno alla media di 398, da un minimo di 306 (Lombardia) ad un massimo di 521 (Calabria), con un rapporto di 1,7. I valori euro ad abitante invece variano intorno alla media 197, da un minimo di 144 (Molise) ad un massimo di 276 (Liguria), un rapporto 1,9 (quasi il doppio).
Tabella 1: valori costi ad abitante e a tonnellata gestione rifiuti urbani per regione. Abbiamo evidenziato i dati significativi
Fonte: catasto rifiuti Ispra 2023
Figura 2: valori costi ad abitante e a tonnellata gestione rifiuti urbani per regione

Fonte: Catasto rifiuti Ispra 2023
Si tratta di dati che ci dicono qualcosa su efficacia ed efficienza del servizio, perché si confrontano medie regionali (che mediano quindi i “picchi”) e non valori locali o comunali. Differenze così ampie, su bacini così vasti, per servizi con lo stesso perimetro, sono spiegabili soltanto da una molteplicità di fattori: tecnici, organizzativi, territoriali, storici e che andrebbero indagati con studi approfonditi, che CNEL potrebbe fare in futuro.
Già dal confronto fra indicatore ad abitante ed indicatore a tonnellata (figura 2) emerge un elemento, per altro intuitivo. L’alto costo a tonnellata tipico delle regioni del Sud Italia è in parte causato dal basso denominatore (produzione di rifiuti procapite più bassa), piuttosto che da tassi raccolta differenziata inferiore alle regioni del nord. L’indicatore a tonnellata, infatti, è molto sensibile alla quantità di rifiuti procapite, per questo è utile usare in abbinamento il dato ad abitante con il dato a tonnellata per una comprensione più nitida dei fenomeni.
Il preconcetto determina le conclusioni CNEL
Invece, la prima tabella di CNEL (tabella 2) correla il costo a tonnellata dell’intero servizio di gestione dei rifiuti urbani con i tassi di raccolta differenziata e con la produzione di rifiuti urbani procapite, individuati come due driver prioritari di possibili spiegazioni o interpretazioni.
Tabella 2: spesa per tonnellata, percentuali di raccolta differenziata e produzione di rifiuti urbani pro capite
La prima osservazione è di natura metodologica. Il rapporto del CNEL non spiega la scelta di considerare a priori questi due aspetti tecnici del servizio come fattori che condizionano il costo (in positivo o in negativo). Soprattutto, non è chiaro perché non si siano considerati altri aspetti tecnici (come, ad esempio, il costo dello smaltimento) e nemmeno perché si sia utilizzato l’indicatore “costo a tonnellata” e non l’indicatore “costo ad abitante” altrettanto disponibile nel catasto rifiuti.
Tra parentesi, CNEL cita come fonte dei dati Opencivitas e non Ispra/Catasto rifiuti e, soprattutto, propone un complicato calcolo per passare da euro ad abitante ad euro a tonnellata, quando bastava usare il dato costo a kg presente nel catasto rifiuti.
Indicatori di impegno finanziario
R01 – Spesa per tonnellata: indicatore non presente in Opencivitas in modo diretto è calcolato come rapporto fra la spesa corrente del servizio (in Opencivitas è “Spesa storica – Euro per abitante”) e le tonnellate di rifiuto raccolto e smaltito (in Opencivitas è “Tonnellate rifiuti prodotti – kg per abitante”).
La conclusione dell’analisi di CNEL è eccessivamente sintetica: Le matrici “impegno finanziario – livello dei servizi” confermano una tendenza generale: all’aumentare dei costi corrispondono livelli inferiori di raccolta differenziata. Quindi, l’indicazione sembrerebbe: se si aumenta la raccolta differenziata si spende meno (a tonnellata).
A parte che questa teoria non è sempre rispettata nella loro stessa tabella, ma è davvero questa la sola spiegazione dei differenziali di costo regionale? Esistono altre spiegazioni?
Un’altra valutazione
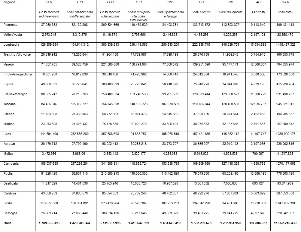
Vediamo una tabella che confronta i dati regionali di costo totale ad abitante con i costi delle raccolte differenziate e dello smaltimento dell’indifferenziato (Catasto rifiuti, dati 2023).
La tabella 3 riporta l’elenco delle regioni ordinate per valore del costo totale ad abitante della gestione dei rifiuti urbani. Si nota che le regioni con il costo più basso sono quelle con i valori dei costi di smaltimento più bassi, valore di solito legato ad un uso esteso dell’incenerimento nella fase di gestione dell’indifferenziato. Probabilmente, quindi, il valore di costo totale è influenzato non solo dai livelli di raccolta differenziata, ma anche dall’efficienza della linea di trattamento e smaltimento dell’indifferenziato (impianti di incenerimento ben dimensionati, basso ricorso ai TMB e all’esportazione dei rifiuti in altre regioni.
Tabella 3: costi di raccolta differenziata e di smaltimento indifferenziato e costo totale 2023 (in verde i valori inferiori alla media)
Fonte: Catasto rifiuti ISPRA 2023
Costo in valori assoluti
Ma quanto costa in valore assoluto la gestione dei rifiuti urbani? Da alcuni anni Ispra non riporta più questa tabella nel Rapporto Annuale e questo dato, quindi, va ricostruito partendo dal costo ad abitante.
Nel 2023 l’Italia ha speso 11,6 miliardi di euro per la gestione dei rifiuti urbani (tabella 4).
Tabella 4: costo gestione rifiuti urbani per servizio e attività valori assoluti 2023
Fonte: elaborazioni su dati Catasto Rifiuti Ispra 2023
Un valore che cresce negli anni, nel 2017 (ultimo dato Ispra disponibile) il costo totale era pari a 10,4 miliardi di euro, un aumento di 1,2 miliardi in 6 anni, 0,2 miliardi l’anno (tabella 5).
Tabella 5: costi per servizio e attività della gestione dei rifiuti, valori assoluti 2017
Quali voci hanno contribuito a questo aumento?
Tabella 6: costi per servizio, confronti 2017/2023 (in rosso i valori negativi)
Fonte: rapporto rifiuti urbani Ispra 2018 (dati 2017) e 2024 (dati 2023)
Il confronto fra la dinamica dei costi dei singoli servizi testimonia che l’aumento del costo totale di circa 1,244 miliardi in sei anni, è avvenuto per un aumento consistente dei costi di raccolta differenziata e recupero (1,5 miliardi), grazie a quali si è passati dal 55,5% al 66,6%, solo un parte compensata da una riduzione dei costi della gestione dei rifiuti indifferenziati (raccolta e smaltimento), pari a 0,7 miliardi di euro, un importante aumento dei costi di capitale (quasi triplicati), un leggero aumento dei costi di spazzamento e lavaggio e una importante riduzione dei costi comuni (tabella 6).
Nel complesso, la dinamica dei costi totali ad abitante sembra crescere lentamente negli ultimi 8 anni (figura 3) e stabilizzarsi forse negli ultimi 3 anni...
Figura 3: dinamica valore costo ad abitante 2016/2023
Fonte: Catasto rifiuti Ispra 2023
Come viene finanziato questo costo?
L’Ufficio Parlamentare di bilancio ha calcolato per il 2023 un gettito complessivo della TARI di 10,5 miliardi di euro (solo parzialmente riscosso nell’anno, ma questo è un altro discorso…)
Le altre voci di copertura del costo sono sostanzialmente quelle relative alla vendita diretta di energia (biometano da digestione anaerobica, biogas da discarica, energia elettrica e calore da incenerimento) e materia (venduta direttamente sul mercato) e dai contributi legati agli schemi di EPR Responsabilità Estesa del Produttore (imballaggi, RAEE), oltre ad eventuali finanziamenti pubblici per gli investimenti e l’innovazione.
Non è facile ricostruire con esattezza questi valori economici. Il CONAI (Consorzio nazionale imballaggi) dichiara per il 2023 693 milioni di euro di contributi ai comuni, Vale 23,8 milioni il gettito del “premio di efficienza£” ai comuni per i RAEE da parte del CDC RAEE. Non esistono dati certi della vendita di materiali fuori dal circuito CONAI né dati sulla vendita di energia da diverse fonti.
Ma, soprattutto, non è facile capire quanto questi ricavi siano già stati considerati nel calcolo dei costi: fino a pochi anni fa i costi dichiarati dai comuni erano già “nettati” dai ricavi di vendita e contributi. Da alcuni anni, ARERA consente un parziale sharing di tali ricavi (in parte a riduzione della tariffa, in parte incamerati dai gestori, con percentuali decisi entro una forbice dagli enti territoriali competenti). In alcuni casi di accesso ad impianti esterni al gestore della raccolta, il valore del costo di smaltimento e recupero (gate fee) è già al netto dei ricavi da vendita di energia.
Per questo motivo non è agevole capire il reale costo “lordo” della gestione dei rifiuti, e quindi capire quanto di questo costo è coperto dalla tassa/tariffa e quanto da voci di ricavo derivanti da vendita di materia energia e gettito EPR.
Di certo si può dire che, a fronte di un costo stimabile in 12,5 miliardi (considerando lo sharing), il valore di vendita di materia ed energia e di contributi EPR non dovrebbe superare i 2 miliardi di euro (tabella 7). Il gettito TARI, quindi, sarebbe pari a 10,5 miliardi, come dichiara l’Ufficio parlamentare di bilancio.
Sulla base dei dati di produzione elettrica e termica e dei prezzi correnti, il sistema degli inceneritori dovrebbe avere un ricavo pari a circa 750 milioni di euro, considerando le autoproduzioni e la quota di rifiuti non urbani trattati.
Dai digestori anaerobici il valore dei ricavi di vendita di energia elettrica e termica dovrebbe attestarsi intorno ai 60 milioni di euro.
Il valore della vendita di energia da biogas in discarica dovrebbe attestarsi intorno a 125 milioni di euro (1,1 Terawattora anno).
La vendita di materiali non imballaggi dovrebbe attestarsi sui 250 milioni di euro.
Tabella 7: ricavi diversi da TARI/TARIP gestione rifiuti urbani
|
Ricavi non tassa/tariffa |
Ricavi (euro/anno) |
|
EPR imballaggi |
693.000.000 |
|
Premio efficienza RAEE |
23.800.000 |
|
Vendita materiali non imballaggi |
250.000.000 |
|
Vendita energia digestori |
60.000.000 |
|
Vendita energia biogas discarica |
125.000.000 |
|
Vendita energia inceneritori |
750.000.000 |
|
Totale |
1.901.800.000 |
Fonti: Rapporto rifiuti urbani Ispra 2024 (su dati 23), Green Book Utilitatis.
Le nostre conclusioni
Questi numeri potrebbero cambiare in meglio se, nei prossimi anni, succedessero le seguenti cose:
a) Aumento del quantitativo di rifiuti urbani ad incenerimento, passando dall’attuale 18% al 25/30 % (come effetto atteso di un tasso di riciclo al 65% e un limite all’uso della discarica al 10% al 2035) e conseguente aumento dei ricavi da vendita di energica elettrica.
b) Aumento del quantitativo di frazione organica a digestione anaerobica (come effetto dell’aumento della raccolta differenziata della frazione organica per raggiungere l’obiettivo del 65% di riciclo al 2035, oggi siamo al 50,8%) e conseguente aumento dei ricavi da vendita di biometano.
c) Aumento dei ricavi dallo schema EPR imballaggi (CONAI) per effetto dell’aumento dei quantitativi raccolti e del miglioramento della qualità dei materiali raccolti (sempre per raggiungere il target di riciclo al 2035), insieme al progressivo raggiungimento del target dell’80% almeno di copertura dei costi (obbligo introdotto dall’ultima direttiva rifiuti di copertura di almeno l’80% dei costi di raccolta da parte dei consorzi di filiera; oggi è intorno al 40/50%).
d) Aumento dei premi di efficienza RAEE per l’aumento atteso di raccolta differenziata in modo da raggiungere il target previsto dalla normativa (oggi raccogliamo circa metà del target)
e) Introduzione a livello europeo dell’EPR nel settore tessile previsto dalla direttiva europea e nei rifiuti in plastica monouso per cui verranno rimborsati parzialmente ai comuni e ai gestori una parte dei costi di spazzamento, come previsto dalla direttiva Single Use Plastic (SUP) del 2018.
Quindi, a fronte di un mantenimento dei costi totali ormai sostanzialmente stabile, lo scenario che potrebbe aprirsi è di un possibile raddoppio del gettito delle altre fonti di finanziamento, con una potenziale riduzione della Tari/tarip di circa 2 miliardi.
Termovalorizzatori
Buongiorno,
ottimo articolo sui costi/ricavi dello smaltimento rifiuti in Italia.
Vorrei sapere se esistono dati disaggregati relativi ai ricavi dei termovalorizzatori generati rispettivamente dalla produzione/vendita di energia elettrica e dalla produzione/vendita di calore (teleriscaldamento).
Ho letto che in Danimarca e Svazia il grosso degli introiti viene dal teleriscaldamento mentre quelli dovuti alla vendita dell'energia elettrica sono marginali.
Saluti
Paolo Ferraresi